在这里,全面了解CPEDX策谱科技最新动态
XRF 的世界里,每一个“成分百分比”的背后,都是一场微观尺度上的“生存游戏”。
如果你觉得FP(Fundamental Parameter)方程晦涩难懂,那是因为我们总是从公式开始。
这一次,我们换个方式——
跟随一颗 X 光子的视角,走完它在样品中的完整旅程。
你会发现,FP方程并不神秘,它只是对这段旅程的“全程记账”。
第一站:出发 —— 原级荧光(Primary Fluorescence)

故事从 X 射线管开始。
高电压下,电子轰击靶材(如 Mo、Rh),产生高能 X 光子。这些光子像高速炮弹一样射向样品。
会发生什么?
l当光子的能量 高于某元素内层电子结合能时:
l内层电子被击出(光电效应)
l原子出现空穴
l 外层电子跃迁填补空位
释放出该元素特有能量的
X 射线 —— 特征荧光
这颗“带有元素身份证”的光子,就是我们探测器想要捕捉的信号。
例如:
金(Au)会发出固定能量的 AuLα \ AuLb1
铜(Cu)会发出 CuKα \ CuKb
这就是我们在能谱中看到的峰。

FP 算法在这里算什么?
它要计算:
管球发出了多少有效能量的光子?
这些光子中,有多少能真正击中目标元素?
每次击中,有多大概率产生荧光?
核心物理参数包括:
光电吸收截面(Photoelectric Cross-section)
荧光产额(Fluorescence Yield)
跃迁概率(Transition Probability)
这一部分,决定了理论上能产生多少荧光。
第二站:危机 ——
吸收效应(Absorption Effect)

问题来了。
不是所有被激发的荧光都能成功逃出样品。
光子进入样品时,会被吸收。
光子离开样品时,也会被吸收。
这就是 FP算法方程真正关注的“损耗核心”。
1️⃣ 入射吸收(Incoming Attenuation)
原级射线进入样品时,会被表层原子不断削弱。
越往深处,强度越低。
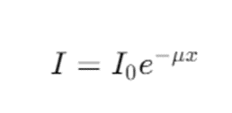
数学表达是指数衰减:

其中:u 是质量吸收系数,x 是路径长度
通俗理解:
光子进入样品,就像子弹射进沙袋,越深入越慢。
2️⃣
出射吸收(Outgoing Attenuation)
即使某一深度成功产生了荧光,它还必须飞出样品。
在飞向探测器的路上:
会被铜、铁、金吸收
尤其在合金中,基体元素往往是“最大拦路虎”。
这就是为什么:
同样含量的元素
在不同基体中,峰强完全不同
FP算法方程在做什么?
它把“入射衰减”和“出射衰减”同时积分。
本质是在计算:
样品对“进去的光”和“出来的光”各有多贪婪。
这不是经验修正,而是路径积分结果。
未完期待下篇章